对称二叉树的判断及二叉树的迭代遍历
最近的我,感觉出了点问题(或许说我原本就是这么的菜。。)。为什么这么说呢?起因是这样的,今天呢,我终于开始刷leetcode的第101题了,不是有句话说得好嘛,万事开头难,对我而言,好像leetcode上的都是开头,怎么说呢,第101题标注的是一道简单题,题目的内容也就是这篇文章的标题——对称二叉树的判断。本来呢,这在人眼看来,也就是一件小case。只需要判断是不是对称的而已,不是很简单嘛,而且也标注的是简单题~可是呢,到我这,呵呵,硬是没想到正确的方向,一直在自己的“死胡同”里打转,待会就介绍下我的死胡同之旅(虽然也不算是死胡同)。
一碰到二叉树和图,我就有点小害怕,为啥呢,因为可以有很多变化~所以今天我就把二叉树的几种遍历(特指迭代)好好整理下。

题目介绍
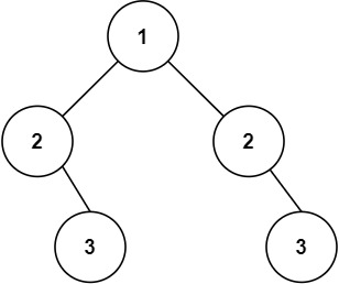
1 | 给你一个二叉树的根节点 root , 检查它是否轴对称。 |

1 | 输入:root = [1,2,2,null,3,null,3] |
我的思路
我的思路很直接,相信一说,大家就懂了,但是呢,先说下,我的思路是错的。
我一开始想的是,既然和对称有关,那第一想到的就是回文数串,回文数串就是一个对称的经典实例。也正是这个想法,彻底地把我带进了深坑~
因此,我就想,既然都是对称,那对二叉树的某种遍历得到的序列是不是也是一个回文数串呢?而遍历的算法,先序与后序很明显是不符合要求的(对称),于是我兴高采烈地拿了几棵对称的二叉树用中序遍历进行实验,额,偏偏还都是回文数串,嗯,没错,,我信了,我竟然就这么相信:只要中序遍历得到的是一个回文数串,那一定是对称二叉树(错的❌)待会我会举出反例(其实是leetcode给出的。。)
思路既然都有了,我就开始写咯,于是,下面的这个代码就是最后的结果(期间,因为对null节点处理不当,导致错的原因很明显)
1 | List<Integer> path = new ArrayList<>(); |
结果是咋样的呢?

当时的我,都惊了,为啥会有一个过不去呢?于是我去把这个给的用例的二叉树画了个图看了下,就一切都明了了。。
我相信只要是个正常人,一眼就能看出,这不是一个对称的二叉树。。可是为什么代码会将其认定为是对称的呢,我按照代码的思路,对它进行了一次中序遍历,结果发现,竟然是一个回文的数串。
经过了很长的思考,我想明白了,原来我一开始依靠的那个想法是不对的:
中序遍历得到的序列如果是对称的话,二叉树也是对称的(❌)
二叉树是对称的话,其中序遍历得到的序列一定是对称的(✅)
就这样,我被这道简单题弄的蛮难受的~
正确思路
相信很多人都明白镜像的道理,将一棵二叉树和其在镜中的二叉树相比较会发现,镜中的某个节点的左子树与镜外的对应节点的右子树是对称的,同样的,镜里的节点的右子树与镜外的对应节点的左子树是对称的,因此,如果使用递归来写,其实,只需要知道这个思路,还是很好写的,这也是为什么这道题会被标注为简单题的原因吧~
思路如下:
对于两棵树而言,镜像对称需要满足:
- 根节点的值相等
- 每棵树的左子树都与另一棵树的右子树互为镜像对称
1 | //递归 |
上面的解法呢,是递归的写法,那如果是迭代呢,众所周知,如果想把递归改成迭代,栈或者具有栈功能的其他数据结构是不可缺少的,当然,有时候会因为某些原因(比如访问顺序),而用队列来代替栈的使用,因此这道题也是如此。
思路上其实是没什么区别的,我们需要一个队列来存储节点。首先我们将树的根节点入队两次,然后再依次出队两个节点x,y(开始时自然是根节点),判断节点的值是否相等。
- 相等:分别将x的左节点(其实是左子树),y的右节点,x的右节点,y的左节点依次入队
- 不等:直接返回false
注意:红色部分的入队顺序是有讲究的,我们需要保证出队时连续两个节点在原二叉树中是对称的位置上。
1 | //迭代 |
提示:由于LinkedList实现了Queue的某些方法,因此可以直接使用LinkedList;其次,使用queue的offer与poll方法可以避免某些异常的抛出。
二叉树的迭代遍历
二叉树的遍历方式有很多种,今天我为以后的自己整理四种出来:先序,中序,后序,层次。
其中,如果要我说的话,先序与后序相比较而言,简单点~
一般来说,不是后序很难嘛,为啥这里会说简单呢,因为如果是严格地按照后序来推,确实蛮难,但是,后序与先序之间的遍历是有关系的,至于是什么关系,待会再说~
先序遍历
处理顺序:中 左 右
遍历方法:将根节点入栈;出栈;访问,并将出栈的节点的右节点,左节点(因为要先访问左子树再访问右子树,加上栈的性质)依次入栈;以此类推下去即可
1 | private void PreOrder(TreeNode root){ |
后序遍历
处理顺序:左 右 中
遍历方法:可以发现,处理顺序与先序的顺序是有关系的,只需要将先序的左右颠倒再整体颠倒就是后序的顺序。
中 左 右 => 中 右 左 => 左 右 中
1 | private void PostOrder(TreeNode root){ |
中序遍历
处理顺序:左 中 右
遍历方法:因为中序遍历最先处理的节点是左子树上的最左节点,而不是根节点,因此,我们必须首先找到这个节点,利用栈将途径的节点存储下来,便于待会的回溯;找到后,访问该节点,再访问该节点的右子树(或许有人会问,为啥不访问该节点的左子树,呵呵,因为,这个节点已经是最左节点,不会存在左子树),如果没有右子树,那么就会出栈一个元素(也就是刚才那个元素的父亲节点,至于为什么会访问这个父亲节点呢,因为它的左子树已经访问完全啦),继续访问,再访问其右子树,以此类推下去。
1 | private void InOrder(TreeNode root){ |
层次遍历
处理顺序:按层来进行处理
遍历方法:一开始我以为层次遍历是最麻烦的,我甚至在方法的参数中加上了层数的信息,最后发现,呵呵呵,好像不是很难。层次遍历,字面意思,遍历完一层再去遍历下一层。因此,将根节点入队后(这里我用的是队列,其实是Deque的队列属性),再出队一个元素,访问(第一层),再将该节点的左节点,右节点依次入队;出队一个元素,访问(第二层),再将该节点的左右节点依次入队;再出队一个元素,访问(第二层最后一个元素,结束)。以此类推。
其实呢,仔细观察会发现,每次访问完一层后,下一层的所有元素都会被入队(注意,队列是先进先出)。
1 | private void LevelOrder(TreeNode root){ |
结束
以上就是我在做这道题的时候,想把二叉树的几种迭代遍历方法都写一遍,加深印象(毕竟一般情况下,都是直接用的递归),为以后的自己留点笔记吧~
番剧啥的,等等吧,最近已经被这疫情堵在寝室里,搞得人有点堵得慌~白白啦!